Chord Gitar Kemesraan Iwan Fals Kunci Dasar A Www
Chord Gitar Iwan Fals Chord Gitar Lagu Lagu Kenangan
Chord Kunci Gitar Iwan Fals Kemesraan Full Detail
Chord Gitar Iwan Fals Kemesraan Kunci Dasar Yosia Musik
Belajar Bermain Gitar Lagu Kemesraan Iwan Fals Lirik Strumming Kunci Dasar Bagi Pemula
Chord Gitar Lagu Kota Iwan Fals Kunci Nada Dasar C
Download Kunci Gitar Iwan Fals
Chord Gitar Kemesraan Iwan Fals Kunci Dasar A Tips
Iwan Fals Kemesraan Kumpulan Kunci Gitar Lirik Lagu Indonesia
Kunci Gitar Iwan Fals Kemesraan Feat Rafika Duri Chord
Kunci Gitar Iwan Fals Kemesraan Kunci Dasar Mudah Chord
Not Angka Iwan Fals Feat Rafika Duri Kemesraan
Chord Gitar Kemesraan Iwan Fals Kunci Dasar A Www
9 Hal Yang Harus Kamu Pikirkan Pas Memilih Playlist Di
Chord Gitar Kemesraan Iwan Fals Kunci Dasar A Tips
Chord Kunci Gitar Iwan Fals Manusia Setengah Dewa
Kunci Gitar Cinta Luar Biasa Nada Dasar D
Chord Gampang Kemesraan Iwan Fals By Arya Nara Tutorial Gitar
Chord Kunci Dasar Gitar Posts Facebook
Kunci Gitar Andra And The Backbone Sempurna Wattpad
Tutorial Belajar Gitar Kunci Dasar Pemula
Chord Kunci Gitar Iwan Fals Manusia Setengah Dewa
Kunci Gitar Iwan Fals Bongkar Kunci Dasar Gitar Chord Gitars
101 Kumpulan Lirik Kunci Gitar Iwan Fals Chord Mudah
Cord Gitar Chord Iwan Fals Kemesraan Intro C F G C
Chord Putri Topeng Untuk Siapa Cintamu From Db Kunci
Arsip Kunci Gitar Koko Setiawan
Kunci Gitar Lagu Cinta Karena Cinta Kunci Gitar Terlengkap
Chord Gitar Cinta Karena Cinta Judika Soundtrack Sinetorn
Iwan Fals Chord Gitar For Android Apk Download
Chord Kunci Gitar Iwan Fals Kemesraan Feat Rafika Duri
Chord Gitar Iwan Fals Kemesraan Kunci Dasar Yosia Musik
Iwan Fals Chord Gitar Fur Android Apk Herunterladen
Kunci Gitar Iwan Fals Kunci Gitar Iwan Fals
Chord Laoneis Band Pulanglah Ayahku From D Kunci Dasar
Arsip Kunci Gitar Koko Setiawan
Chord Kunci Gitar Iwan Fals Sarjana Muda Kuncilagu Net
Kunci Gitar Iwan Fals Kemesraan Kunci Dasar Mudah Chord
Iwan Fals Buku Ini Aku Pinjam Lirik Dan Chord
Kunci Chord Gitar Mudah Andmesh Kamaleng Cinta Luar
Chords For Selamat Tinggal Guru Dan Kawanku Perpisahan Sd
Chord Gitar Iwan Fals Ujung Aspal Pondok Gede Chord Gitar
Chord Kunci Gitar Iwan Fals Wakil Rakyat Kuncilagu Net
Kunci Gitar Iwan Fals Intermezo Akustik Chord Dasar
Tutorial Belajar Gitar Kunci Dasar Pemula
Kunci Gitar Iwan Fals Sore Tugu Pancoran Chord Dasar Kunci
Chord Lirik Lagu Indonesia Ahmad Naufal Azbar Wattpad
Kumpulan Kunci Gitar Iwan Fals Chordindonesia Com
Chord Iwan Fals Yang Terlupakan Chordfrenzy
Chord Lagu Daerah Indonesia Gunawan Arang Tampurung Manado
Kunci Gitar Iwan Fals Kemesraan Kunci Dasar Mudah Chord
Lirik Dan Kunci Gitar Iwan Fals Terlengkap Apps On Google Play
10 Kunci Gitar Chord Lagu Iwan Fals Paling Mudah Dimainkan
Chord Gitar Iwan Fals Chord Gitar Indonesia Kumpulan
Iwan Fals Yang Terlupakan Docx
Kunci Gitar Iwan Fals Kemesraan Dasar Download Mp3 Free Video
Download Kumpulan Lagu Iwan Fals Apk Latest Version App By
Chord Gitar Kemesraan Iwan Fals Kunci Dasar A Www
Kunci Gitar Iwan Fals Kemesraan Dasar Download Mp3 Free Video
Kunci Gitar Dasar Iwan Fals Yang Terlupakan Paling Mudah
Belajar Kunci Gitar Iwan Fals Kemesraan Tutorial Mudah
By Photo Congress Kunci Gitar Franky Sahilatua Lelaki Dan
Gambar Belajar 15 Kunci Gitar Dasar Latihan Strumming Pemula
Arsip Kunci Gitar Koko Setiawan
Chord Iwan Fals Kupu Kupu Hitam Putih From G Kunci
20 Koleksi Chord Iwan Fals Lirik Lagu Pilihan Terbaik
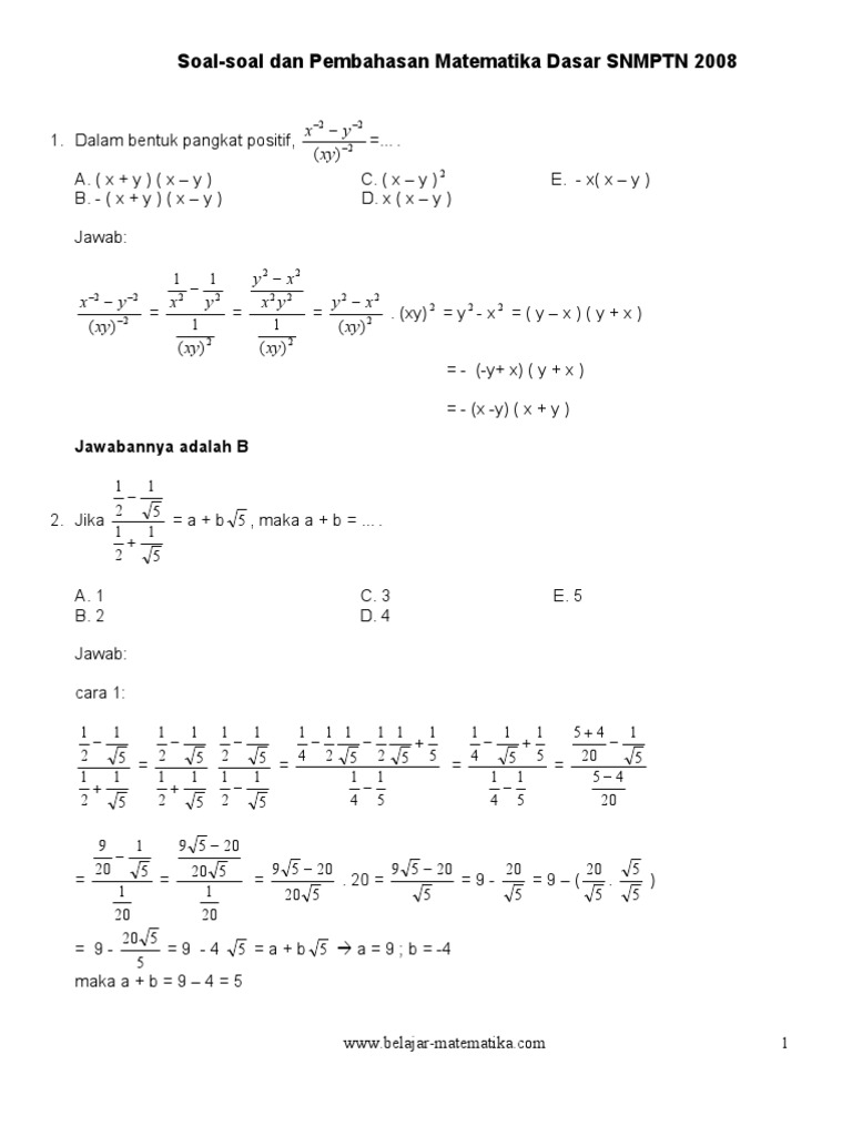
Soal Soal Dan Pembahasan Matematika Dasar Snmptn 2008
Not Angka Iwan Fals Feat Rafika Duri Kemesraan
Chord Gitar Iwan Fals Bento Kunci Dasar The Galleries Of
9 Kumpulan Chord Gitar Iwan Fals Lagu Sepanjang Masa
Gambar Angka Iwan Fals Terlupakan Lhia Music Notes Ijinkan
Kunci Gitar Iwan Fals Bento Kunci Gitar Dasar Chord Gitars
Chord Gitar Iwan Fals Ujung Aspal Pondok Gede Dasar The
Arsip Kunci Gitar Koko Setiawan Pdf Document
Chord Gitar Dan Lirik Doa Perpisahan Pdf Document
Kunci Gitar Iwan Fals For Android Apk Download
13 Best Not Angka Images Music Corner Kids Songs Music
Chord Gitar Manusia Setengah Dewa Iwan Fals Masion Tv
Tutorialgitarindonesia Instagram Posts Photos And Videos
Tutorial Belajar Gitar Kunci Dasar Pemula
Not Angka Gitar Iwan Fals Notangkalagu Web Id
Kunci Gitar Iwan Fals Kemesraan Dasar Download Mp3 Free Video
Kunci Gitar Dasar Lagu Iwan Fals Entah
Tutorialgitarindonesia Instagram Posts Photos And Videos
Lirik Lagu Yang Terlupakan Iwan Fals Lirik Lagu Populer
دانلود Lagu Iwan Fals Legendaris 1 1 Apk برنامه های صدا و
Kunci Gitar Iwan Fals Kemesraan Kuncilagu Net
Lagu Dan Kunci Gitar Kemesraan Iwan Fals Tunas63
Kemesraan Iwan Fals Belajar Keyboard Praktis
Lirik Lagu Iwan Fals Pdf Document
20 Koleksi Chord Iwan Fals Lirik Lagu Pilihan Terbaik
Chord Gitar Dan Lirik Doa Perpisahan Pdf Document






